“红腔”是个多元的艺术整体,而每一元都堪称是卓有成就。先不说感情,韵味等表现方面的造诣,只从技术的角度来看,在“气”与“腔”的魅力,早已是人所共知。若在细心观察,在“气”的运用上,她更是达到了异乎寻常的高境界。
“气息”所指范围相当广阔,一篇小文,很难面面俱到,本文只打算研究其中有关“气口”(这里一指每口气所唱的时间长度,二指吸气。合指用气的布局)方面的处理。
唱慢曲,有三难:
一是“节奏难”,若耐不住,守不稳,就会像醉汉走路,左摇右摆,前扑后仰。
二是“运腔难”,无论是“度”(设计)抑或唱均属不易。拍与拍之间时值甚长,极易走拍。常见者是一拍未完便唱了第二拍,或相反,“叮板”唱“过龙”(超时了)也未知晓。更有甚者,连拍都无法打下,唱曲全凭“念熟口簧”。
三是“气息难”。曲拍慢就长,拍长就犯气,遇上长音高音或腔密者,则气绝难撑。
然而,红线女却相当擅长唱慢曲。
节拍器里的速度标记,最慢的也只是每分钟40拍,而在“红腔”曲目中,甚至慢于每分钟26拍的唱腔(这对一般歌曲或西洋音乐来说,简直是不可思议的),却比比皆是、屡见不鲜。慢曲之“三难”,难不倒她;大量的长音、高音、连绵不绝的花腔,亦难不倒她。相反,正是因难见巧,这更成为她充分发挥“声”、“腔”、“气”艺术技巧的媒介载体。
我曾较细心地留意过“红腔”各时期唱腔的用气,的确感到其气“度”不凡。有两次与女姐谈到此有关问题时,她都提及《香君守楼》中的〔首版〕,说是可以作为练气的曲例。而我觉得,何止是一个〔首版〕,其实整首粤曲,都体现出其用气技巧之高超。
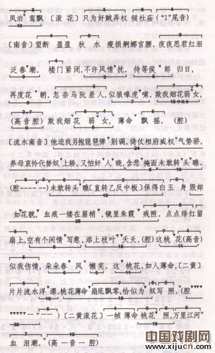
现把《香君守楼》全曲唱词列出,关键的气口标出时值数据,以供分析。
注:①
为普通吸气。②
为快速吸气(俗称“偷气”)。③每口气的时值用秒来计算,用数字表示。如
即五秒。④标在下方者:
表示连“偷气”在内所唱的总时值。


根据例一对《香君守楼》(1980年重录版)所记录下来的时值数据进行研究,其用气特点起码有三个:
一、 超乎寻常之长气息的运用
唱腔用气的时值上限,从来就没有标准。不同条件的人、不同风格的唱腔,在不同的使用场合,就会有所差异。不过,从大量的唱腔来看,较长的也只在五、六秒左右,七、八秒以上的已不多见,而在“红腔”之中,超过十秒以上的都不在少数。
《守楼》全曲唱词笼统地分,约只有五十多“顿”,而时值在5″(五秒)以上的气口就有四十三处之多。其中5″二十一处,6″五处,7″六处,8″三处再长的有9″两处,10″一处,竟还有更长到11″的两处,12″两处,13″一处!
下面在简列出〔二簧首版〕的乐谱,其用气设计就看得更清楚了。


还有一句更长的是:

其余的长息数据在例一中已略表大概,因记谱大占篇幅,这里便从略了。
分析其唱腔中长气口,主要出现在:若非情绪表达或语感需要停顿时,能不换气的,都用一口气唱出。还有十分讲究腔、字的尾音,通常都拉得很圆满,很尽致。在效果上,不但没有使人感觉冗长沉闷,反而在感到美的享受的同时,不由得惊叹红线女的“气量”过人。
二、 灵巧敏捷的“偷气”技巧
唱腔中常常为了旋律更加连贯而一口气又无法连续唱出时,就得运用“偷气”技巧。红线女于这方面堪称是驾轻就熟。
这里也分两种情况来分析。一是用较短的时值补充足够的气量,再唱出很长或很高的音。
《守楼》一曲中,运用大小“偷气”(指时间短促的不同程度)共有五十一次之多。运用此法,使气息延长到6″至32″的,就已经出现了三十一处之多。如〔首版〕(见例二)中“思飘渺”一顿,有两次稍缓的偷气,第二次还紧接着翻了个11″的、既高又长的尾腔,此顿时值一共唱了22″。到〔首版〕第三顿“空楼静悄”后,稍吸气便马上跳上“6”字高音的“风寒料崤”一句,而中间只小补了一点气,即“静悄,
一共唱了17″;又如〔乙反中板〕一句:
唱腔连绵不断,完全没有正式吸气的空间。就是“朱霞”后面的“5”音虽有一拍之长,也拖得很满,只留下极短速的时值补补气。经过四次这样的急“偷气”,此句竟连续唱了二十六秒!有很多瞬间的急换气,处理的更加精彩。如〔长句二簧〕中:

在〔二簧首版〕中:
一句,却又是顺着语感、语势的自然强弱,把思字尾音渐渐拖弱,在不知不觉中,已进行了很短促的补气,把旋律、语感、“偷气”技巧这三者很圆满地结合在一起。又比如〔乙反中板〕中:

这里“多多春风”正好利用高音激动旋律产生的抑扬顿挫,把偷气安排在其中。而“懒笑”则很细腻的从弱到强,中间转“笑”字音前来了一个小小的间歇,既是情绪的小起伏,又可以借作补气只用。跟着“这挑花”一句更妙,轻轻的“这”字刚出,随即又稍稍顿了一下,气倒是可吸可不吸,但这停顿却正好是面对挑花触景生情的语感情绪的表达,效果甚佳。此外,还有〔二簧〕中“偏偏流水”

等等,都是很细腻,很精彩的处理。
红线女的换气技巧,不但十分多变,而且还相当娴熟。好像什么曲到了她那里,都变得轻而易举,毫无困难。
三、 连贯流畅一气呵成的唱腔处理
这里也想分成两种类型来论述。
一种是,本来就是断续的句子,却有意把接连起来唱。或者中间虽有吸气或偷气,但旋律节凑所构成的乐汇、乐意,给人的感觉仍然是连续不断的。
例子亦是随手可拈,如〔流水南音〕中

一句。原是四句独立的,此曲却每句都加了一些花音作过度连接,楔得很密,24″长的演唱时值,中间用了短吸气和偷气技巧顺利解决

通常唱法是“这”字之后先过序,在唱出“挑花”,但这里把它们都连贯起来了。
另一种是最典型的、在一般音乐中惯常使用的、在粤剧传统中常见的,很可惜,却也是“文化大革命”后,特别是近二、三十年来,大陆粤剧粤曲圈子中越来越少人做得到的——句子的结尾部分不作换气,直接一气呵成唱到完。红线女不但在很多地方里保持着这优良的传统唱法,而且与众不同的是,经过了很长很长的句子后仍然有充足的气息拖到最后一长音,使你不能不惊讶、不佩服。
如〔二簧首版〕“思飘渺”的尾腔:

整个12″的高音拖腔,酣畅淋漓,相当精彩。
例子真是不胜枚举。其实,上面第一部分的“长气息”与第二部分的“偷气”里面所列举的处理意图,也是为了使唱腔更加流畅连贯,因此,亦等于此部分的例证,这里便不再重复了。
红线女这些气口处理,绝非偶然出现在《守楼》一曲,在相同的板式曲牌中,都有相近相似的用法。如《打神》的〔首版〕、〔二簧〕;《柴房自叹》的〔流水南音〕;《栖凤楼》的〔中板〕等,这里就不一一列举了。
因此,通过解剖《守楼》一曲,也可说是略见一斑,多少看出“红腔”一些用气的特点来。
为了出现“红腔”在多种场合上使用气息(这里专指一口气所唱之时值)较长这一现象,我常常把“红腔”以外的各种唱腔(其中不乏相同的板式曲牌,相似的速度,相近的情绪)拿来进行对照,结果还是发现:其他唱腔,通常用气的时值多在五、六秒一下,较长的甚少,而且往往是偶然出现在一些特殊场合中。如新马师曾在《胡不归之哭坟》中的〔乙反二簧〕“乙字腔”;何非凡《情僧偷到潇湘馆》中尾句〔滚花〕,以至京剧童祥苓《打虎上山》的〔导板〕;胡松华的《赞歌》;才旦卓玛的《牧歌》等,在特殊气氛需要,或着意发挥技巧的地方。而在“红腔”中,却是经常的、连续的、参透在多种板式曲牌中的。
当然,艺术园中百花齐放,唱腔唱法也不止一家。未必是越难越好,也不是气息使用越长越佳。个人演绎方式有所不同,个人处理手法亦有差异,讲到受众的审美情趣,就更是多元化的了。否则,又何来众多流派产生的存在呢?
不过,“红腔”的成功是客观存在的不争事实,诸如《游龙戏凤》、《慈母泪》,早期的《昭君出塞》、《柴房自叹》等等曲目,还可以发现,红线女的唱腔很早便已自成一格,今天“红腔”中不少的旋律运行,气口处理等,很早便略具雏形(当然,今天“红腔”显得更成熟,发展得更丰富,也更具感染力)。
因此,我还想这样说:“红腔“的形成,与其很早便具有惊人的气息控制能力,在技术上起着极大的支持作用,是不无关系的。
我们都知道,女姐并非有魁梧的身躯,过人的体魄,更不具备特殊的肺活量。还要特殊说明的是:本文作例的《守楼》,是红线女被迫离开舞台十三年后的重新录制的版本,但她依然能够在这些“特殊”慢的唱腔旋律中,使出了超人的气息来!而且还唱得饱满酣畅、淋漓尽致,这难道还不是高超的艺术技巧吗!这里面当然有很多学问值得我们去探讨,不过,我们起码可以肯定:她除了有着极其深厚的普通功力以外,必定还找到了很科学、很“经济”、很“合算”的(幽默的比喻)——即是有很高效率的用气带声的窍门,才能唱得这么响亮,这么轻松,这么持久,好那么感情充沛。我想,这个窍门,很可能直接地辅佐着她的“红腔”的形成;这个窍门,又正在使她一直保持着演唱艺术的青春。
学“红腔”不研究其用气,是一大憾事。当然不是机械地学,是结合个人条件而学。可以作为一种能力培养、一种技巧的训练;或者作为一个方向,一个目标去努力。从这个角度来说,不是唱“红腔”的人,学其用气,亦一定大有裨益的。因此,我们今天研究“红腔”的气息运用,也就有着很大的现实意义。
我们期待着女姐能把她成功的气息运用的方法、经验、技巧、绝招,传授给更多的后人。

发表评论 取消回复